vivo“切换方法、装置和网络侧设备”专利获授权
天眼查数据显示,维沃移动通信有限公司近期获得了一项名为“切换方法、装置和网络侧设备”的专利授权,授权公告号为cn115396963b,授权公告日期为2025年3月14日,最早申请日期为2021年5月25日。
☞☞☞AI 智能聊天, 问答助手, AI 智能搜索, 免费无限量使用 DeepSeek R1 模型☜☜☜

这项专利涉及无线通信技术领域,具体而言是一种切换方法、装置和网络侧设备。其实现方式包括:原基站向目标基站发送含有信号放大器上下文信息的切换请求;接收目标基站返回的切换响应,该响应携带由目标基站根据上下文信息确定的第一重配置信息;随后,原基站向信号放大器发送切换命令,该命令包含基于第一重配置信息确定的第二重配置信息。
飞芯电子“一种像素电路,图像传感器及探测装置”专利获授权
天眼查显示,宁波飞芯电子科技有限公司近日获得了一项名为“一种像素电路,图像传感器及探测装置”的专利授权,授权公告号为CN115308756B,授权公告日为2025年2月14日,申请日为2021年5月7日。

这项专利公开了一种像素电路,其特征在于,该电路包括光电转换单元、多个传输门、多个浮动扩散电容以及多个复位晶体管。光电转换单元接收光信号并转换为电信号,传输门控制电信号传输,浮动扩散电容存储电信号,复位晶体管则用于复位浮动扩散电容。每组浮动扩散电容与传输门、复位晶体管的耦合电容相等。
大连理工大学团队:通过提高晶体质量增强 β-Ga₂O₃ 薄膜的光电突触可塑性
大连理工大学集成电路学院梁红伟教授和常玉春教授的研究团队在《Journal of Alloys and Compounds》上发表了题为《通过提高晶体质量增强 β-Ga₂O₃ 薄膜的光电突触可塑性》的文章。该研究获得了多项基金的支持,包括辽宁省自然科学基金联合基金(博士科研启动项目,编号2023-BSBA-028)、中央高校基本科研业务费(编号DUT -24BS008)、广东省基础与应用基础研究基金(编号2023-A1515110064)、国家重点研发计划(编号2023YFB4503003)、国家自然科学基金(编号62304030 和 62104024)以及2022年工业强基工程与制造业高质量发展专项(编号TC220A04A-49)。
传统观点认为Ga₂O₃材料的光电突触可塑性源于氧空位等缺陷,因此高结晶质量通常被认为是不利因素。然而,该研究发现,通过提升β-Ga₂O₃异质外延薄膜的晶体质量,能够显著增强光电突触器件的突触可塑性,恢复时间从0.22秒延长至3.05秒。进一步使用更高质量的同质外延制备器件后,恢复时间延长至40秒以上。此外,该器件展现了多级存储、短时记忆(STM)和长时记忆(LTM)等功能,并在1-10V电压范围内表现出了优异的稳定性,具备模拟人眼虹膜功能的潜力,同时能在高温(630K)下正常工作。研究人员认为,这些高质量β-Ga₂O₃薄膜的突触可塑性来源于其固有的间接带隙特性。
研究亮点:
提升晶体质量可以增强β-Ga₂O₃薄膜的突触可塑性;优化后的器件展现多级存储、STM与LTM等功能;该器件表现出优异的电压稳定性和高温可工作性。
总结:这项研究揭示了氧空位并非β-Ga₂O₃材料突触可塑性的唯一因素,其固有的间接带隙结构同样起重要作用。基于高质量β-Ga₂O₃薄膜的光电突触器件具有良好的电压稳定性和高温工作能力。这项研究深化了对β-Ga₂O₃基SBUV器件的理解,并为其设计与开发提供了重要参考。
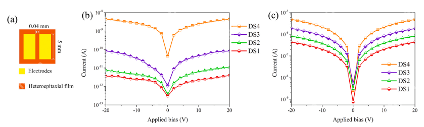
图1:(a)S1的XRD 2θ-ω扫描谱;(b)S1-S4的(-201)反射面的XRD摇摆曲线;(c)S1-S4的透射光谱
图2:(a)在β-Ga₂O₃异质外延薄膜上制作的器件示意图;(b)DS1-DS4的Idark;(c)DS1-DS4的I254
清华大学牵头的“稀土磁材工业废料绿色生物回收与资源高值循环利用技术”完成成果评价
清华新闻网5月26日报道,5月18日,中国稀土学会与中国稀土行业协会联合组织对清华大学牵头的“稀土磁材工业废料绿色生物回收与资源高值循环利用技术”项目进行了科技成果评价。该项目由清华大学化学系刘凯教授和张洪杰院士团队牵头,联合北京镧系生物科技有限公司、国创新材(北京)稀土新材料技术创新中心有限公司、内蒙古北方稀土新材料技术创新有限公司和安泰科技股份有限公司共同完成。
成果评价专家委员会由11位稀土、合成生物学等学科交叉领域的院士专家组成,包括中国钢研副总工程师李卫院士、天津大学合成生物技术全国重点实验室主任元英进院士、中国科学院化学研究所李玉良院士等。会议由中国稀土学会理事长李波主持。
专家委员会按照科技成果评价标准及程序,进行了现场汇报、答辩、资料审查、质询讨论以及实地考察工艺流程和产品的环节。最终,评价委员会一致认为,该成果是一项合成生物学驱动的低能耗、低污染、高效率稀土资源循环高值化利用技术,处于国际领先水平,符合我国稀土资源可持续发展战略和生物制造产业的重点发展方向,建议国家积极推动其产业化应用。
成果评价会现场
北理工团队在准晶超导机理领域取得重要进展
近日,北京理工大学物理学院杨帆教授、刘录副研究员团队与中国科学院物理研究所李自翔研究员合作,在《Physical Review Letters》上发表了题为《Holstein模型在彭罗斯晶格上的超导性与电荷密度波》的研究成果。该研究以彭罗斯准晶为例,首次对Holstein模型进行了无符号的行列式蒙特卡洛模拟。
研究团队发现,彭罗斯准晶中平移对称性的缺失抑制了电荷密度波的形成,而半满填充时发散的态密度显著增强了配对强度。这两种效应共同作用下,在弱到中等电子-声子相互作用强度下,超导成为系统的基态。这一现象与周期晶格中电荷密度波序抑制超导的现象完全不同,为实现高Tc超导提供了新平台。
图1:(a)彭罗斯准晶示意图;(b)单粒子体系的能谱和态密度;(c)半满填充时的基态相图。
该研究得到了国家自然科学基金和北京理工大学青年研究经费项目的资助,北京理工大学刘录副研究员为第一作者,杨帆教授和李自翔研究员为共同通讯作者。
图2:(a)最近邻跃迁Tij和(b)最近邻超导关联Δi Δj在电子-声子相互作用强度g=1,声子频率Ω=1时的空间分布图。(c),(d)分别展示了两个物理量在不同电子-声子相互作用强度下的最大值和最小值。
以上就是【公布】vivo“切换方法、装置和网络侧设备”专利获授权的详细内容,更多请关注创想鸟其它相关文章!
版权声明:本文内容由互联网用户自发贡献,该文观点仅代表作者本人。本站仅提供信息存储空间服务,不拥有所有权,不承担相关法律责任。
如发现本站有涉嫌抄袭侵权/违法违规的内容, 请发送邮件至 chuangxiangniao@163.com 举报,一经查实,本站将立刻删除。
发布者:程序猿,转转请注明出处:https://www.chuangxiangniao.com/p/126063.html
微信扫一扫
支付宝扫一扫


