684。冗余连接
难度:中等
>>主题:深度优先搜索,广度优先搜索,联合查找,图形
在这个问题中,一棵树是连接且没有循环的无向图。>您获得了一个图形,该图是从1到n标记的n个节点开始的树,并增加了一个边缘。添加的边缘具有从1到n选择的两个不同的
的顶点,并且不是已经存在的边缘。该图表示为长度为n的数组边缘,其中边缘[i] = [ai ,bi]表明节点ai 返回可以删除的边缘,以便结果图是n节点的树。如果有多个答案,请返回在输入。
>
>示例1:
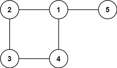
>输入: edges = [[1,2],[1,3],[2,3]]
>输出:
[2,3]
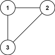
>>示例2: >输入:
edges = [[1,2],[2,3],[3,4],[1,4],[1,5]] >输出:
[1,4]

>约束:>n == edge.length3 edges [i] .length == 2
1 i i
iai != bi>没有重复的边缘。给定的图是连接的。解决方案:冗余连接问题要求我们确定图形中的边缘,可以将图形转换为有效的树。树是连接和无环的无向图。给我们一个图形,该图是从树开始的,但通过添加一个额外的边缘进行了修改。我们的目标是找到并返回这个额外的优势。> 关键点
该图是未取向
和
删除冗余边缘后所得的图形必须没有周期。答案应返回输入中出现的
最后一个
的边缘,如果有多个有效的解决方案。
由于单个额外的边缘,该图最多可以具有一个周期。 方法该方法涉及使用>深度优先搜索(dfs)来检测周期:>邻接列表表示:>使用邻接列表来表示图形。该结构适合有效地执行df。
通过dfs
循环检测:>在将边缘添加到图表之前,请使用dfs检查边缘两个顶点之间是否已经有一个路径。如果有的话,添加此边缘将形成一个周期。
返回边缘:
如果检测到一个周期,请返回当前边缘作为冗余连接。 计划
解析输入边缘。
维护一个邻接列表以动态跟踪图形的连接。对于每个边缘:使用递归dfs函数检查两个顶点之间的路径是否存在。如果存在路径,请返回边缘作为冗余连接。
否则,将边缘添加到邻接列表中。
如果找不到冗余边缘,则返回空结果(尽管这不会按照问题的限制发生)。>让我们在php中实现此解决方案: 684。冗余连接
解释:
dfs实现:从一个节点开始,然后递归访问其邻居。使用访问的数组避免重新访问节点。如果在遍历期间达到目标节点,则存在一条路径。 edge addad :
如果在边缘的顶点之间不存在路径,请将边缘添加到邻接列表中,然后继续进行下一个边缘。
冗余边缘
:
如果已经存在路径,请在形成周期时返回当前边缘。
示例演练 示例1:>输入:edges = [[1,2],[1,3],[2,3]] 步骤:
>将邻接列表初始化为[]。
处理边缘:添加[1,2]→图:{1:[2],2:[1]}添加[1,3]→图:{1:[2,3],2:[1],3:[1]}
检查[2,3]:dfs找到路径→返回[2,3]。
>输出:[2,3] 示例2:
> input
:edges = [[1,2],[2,3],[3,4],[1,4],[1,5]] 步骤
:
>将邻接列表初始化为[]。
处理边缘:
添加[1,2]→图:{1:[2],2:[1]}添加[2,3]→图:{1:[2],2:[1,3],3:[2]}添加[3,4]→图:{1:[2],2:[1,3],3:[2,4],4:[3]}检查[1,4]:dfs找到路径→返回[1,4]。输出:[1,4] 时间复杂性
dfs traversal
:
对于每个边缘,我们执行一个dfs来检查连接。>最差的情况:
o(v e)
,其中
v 是顶点的数量, e是边的数量。总复杂度:
由于我们为每个边缘执行dfs,因此总体复杂性为
o(e×(v e))
。
空间复杂度
:>邻接列表: o(v e) 。。访问阵列:o(v)。总计:o(v e)。
输出示例 示例1:> input :[[1,2],[1,3],[2,3]] >>>输出:[2,3]
示例2:
> input :[[[1,2],[2,3],[3,4],[1,4],[1,5]] >输出:[1,4] 可以使用基于dfs的方法来有效解决该问题以检测周期。此方法动态构建图形并在每个步骤中检查冗余边缘。该解决方案通过遵守问题约束并输出形成周期并发生在输入中的边缘的边缘来确保正确性。> 联系链接 如果您发现此系列有帮助,请考虑在github上给出 reposority cository >在您喜欢的社交网络上分享帖子。您的支持对我来说意义重大!>如果您想要这样的更多有用的内容,请随时关注我:> linkedin github
以上就是冗余连接的详细内容,更多请关注创想鸟其它相关文章!
版权声明:本文内容由互联网用户自发贡献,该文观点仅代表作者本人。本站仅提供信息存储空间服务,不拥有所有权,不承担相关法律责任。
如发现本站有涉嫌抄袭侵权/违法违规的内容, 请发送邮件至 chuangxiangniao@163.com 举报,一经查实,本站将立刻删除。
发布者:程序猿,转转请注明出处:https://www.chuangxiangniao.com/p/1284237.html
微信扫一扫
支付宝扫一扫


