ViG:高效且可扩展的视觉骨干网络
论文链接: https://www.php.cn/link/38f6986c14cd82ea09ac933d4abebea6
成果: 本工作已被AAAI 2025收录。
Vision Mamba的成功证明了将视觉表征学习转化为线性复杂度视觉序列建模的巨大潜力。然而,即使像Vision Mamba这样的线性视觉序列建模方法在高清图像上效率显著提升,但在更常见的分辨率下,其性能仍略逊于Transformer和CNN。
为了进一步提升线性复杂度视觉序列建模的效率,我们针对现代计算设备的硬件特性,设计了一种新型模型——ViG。ViG将自然语言处理中高效的门控线性注意力模块(Gated Linear Attention, GLA)引入视觉表征学习,并结合参数高效的双向建模、长短上下文动态门控机制以及硬件感知的双向算子设计。最终,ViG在各种视觉任务上,在精度、参数量和效率方面均超越了主流的Transformer和CNN模型。
技术背景
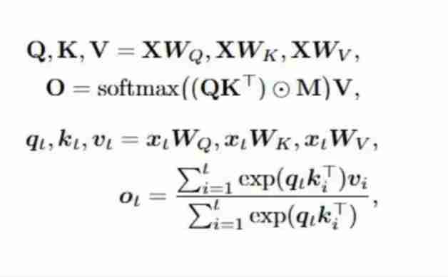
Transformer的自注意力(Self-Attention, SA)机制需要处理所有历史输入之间的交互,导致计算复杂度随输入序列长度呈二次方增长:
☞☞☞AI 智能聊天, 问答助手, AI 智能搜索, 免费无限量使用 DeepSeek R1 模型☜☜☜

线性注意力(Linear Attention, LA)机制通过将softmax算子替换为简单的矩阵乘法,利用矩阵乘法的结合律,预先计算KV,从而将计算复杂度降低为线性:
线性门控注意力(Gated Linear Attention, GLA)机制进一步引入门控机制,控制对历史信息的遗忘和更新,提升了线性注意力机制的表达能力:

方法概述
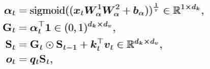
双向门控注意力机制 (BiGLA):


图片作为二维信号,在一维序列表示上具有多向特性。我们改进GLA,仅引入双向门控机制
,显著提升了对视觉信号的空间表达能力。BiGLA算子将前向和反向视觉序列压缩到固定大小的隐状态
和
。
硬件感知的双向算子设计:
为了进一步提升效率,我们设计了一个硬件感知的双向实现,将BiGLA的前向和反向扫描合并到一个Triton算子中。这种设计避免了反向序列的实例化,只需维护单向视觉序列即可进行多向扫描和融合,显著降低了显存占用并提升了硬件运行速度。

通义视频
通义万相AI视频生成工具
70 查看详情
长短上下文动态门控机制:
BiGLA算子中的双向隐状态
和
进行长上下文全局压缩。为了增强对图像二维空间细节的感知,我们引入了短上下文卷积门控设计:

模型结构:
基于上述ViG模块,我们构建了两种结构变体:类似Vision Transformer的简单直筒结构ViG和类似CNN的层次化金字塔结构ViG-H。

实验结果
实验结果表明,ViG和ViG-H在参数量和精度的权衡上优于先进的Transformer和CNN模型。ViG基础模块同时具备全局感受野和线性复杂度,这是传统CNN、基于原始注意力机制的Transformer和基于窗口化注意力机制的Transformer无法实现的。


在高分辨率图像(1024×1024)上,ViG展现出显著的优势:计算量降低5.2倍,GPU显存节省90%,速度提升3.8倍,精度提升20.7%。


双向设计仅增加了2%的参数量,却带来了11.1%的精度提升;硬件感知实现减少了19%的推理代价和13%的显存占用。
总结与展望
ViG在高效视觉序列建模领域具有重要创新性和应用价值。通过BiGLA和二维门控局部注入机制,ViG有效结合了全局感知能力和局部细节捕获,实现了高效且准确的视觉表征学习。ViG在图像分类、目标检测和语义分割等任务中表现出色,尤其在高分辨率场景下,其性能和资源利用效率显著提升。 其硬件感知优化设计降低了内存占用和计算成本,为高清视觉信号处理和多模态序列建模提供了强有力的技术支撑。
以上就是更快、更强!地平线ViG,基于视觉Mamba的通用视觉主干网络的详细内容,更多请关注创想鸟其它相关文章!
版权声明:本文内容由互联网用户自发贡献,该文观点仅代表作者本人。本站仅提供信息存储空间服务,不拥有所有权,不承担相关法律责任。
如发现本站有涉嫌抄袭侵权/违法违规的内容, 请发送邮件至 chuangxiangniao@163.com 举报,一经查实,本站将立刻删除。
发布者:程序猿,转转请注明出处:https://www.chuangxiangniao.com/p/370079.html
微信扫一扫
支付宝扫一扫

