数据结构
-
数据结构排序算法总结
数据结构排序算法总结 概述 排序有内部排序和外部排序,内部排序是数据记录在内存中进行排序,而外部排序是因排序的数据很大,一次不能容纳全部的排序记录,在排序过程中需要访问外存。 1.插入排序—直接插入排序(Straight Insertion Sort) 基本思想: 将一个记录插入到已排序好的有序表中…
-
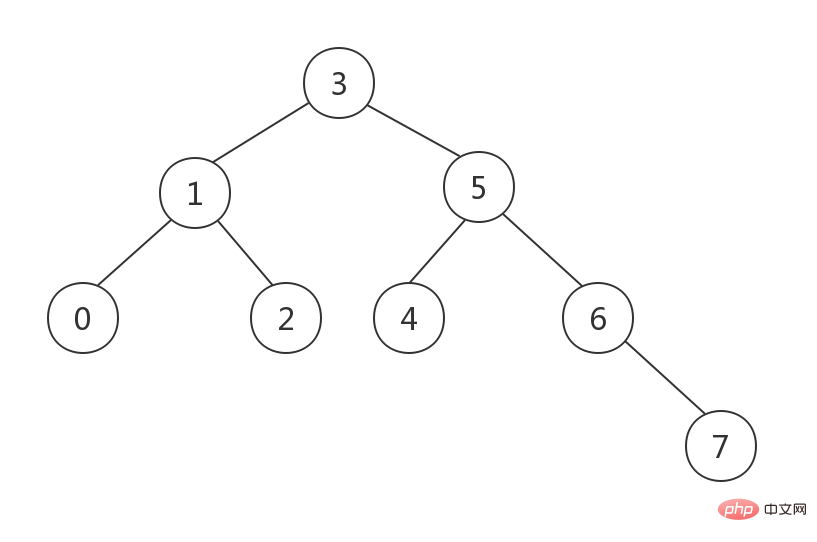
c++ 图解层序遍历和逐层打印智能指针建造的二叉树



二叉树是极为常见的数据结构,关于如何遍历其中元素的文章更是数不胜数。然而大多数文章都是讲解的前序/中序/后序遍历,有关逐层打印元素的文章并不多,已有文章的讲解也较为晦涩读起来不得要领。本文将用形象的图片加上清晰的代码帮助你理解层序遍历的实现,同时我们使用现代c++++提供的智能指针来简化树形数据结构…
-
数据结构中散列表(哈希表)经典之冲突处理
散列是在记录的存储位置和它的关键字之间建立一个确定的对应关系f,使得每个关键字key对应一个存储位置f(key),建立了关键字与存储位置的相互对应关系,这种关系 f 称为散列函数(哈希函数)。本文小编主要讲述散列函数的冲突处理问题。 查找过程中,关键码的比较次数,取决于产生冲突的多少,产生的冲突少,…
-
Golang container数据结构 heap/list应用
container/list实现双向链表,支持高效插入删除,适用于LRU缓存;container/heap通过接口实现堆操作,常用于优先队列,如按优先级处理任务。 Go语言标准库中的 container 包提供了几个基础但高效的数据结构实现,其中 heap 和 list 在实际开发中非常实用。虽然G…
-
Golang的container数据结构 heap/list应用
Go的container/list实现双向链表,支持高效插入删除,适用于LRU缓存等场景;2. container/heap需自定义类型实现接口,通过Len、Less、Swap、Push、Pop方法构建堆,常用于优先队列。 Go语言标准库中的 container 包提供了几种常用的数据结构,其中 h…
-
Golang模板渲染:解决复杂数据结构的输出问题



golang模板渲染通过分离数据与展示逻辑,优雅地将复杂数据结构嵌入预定义模板生成目标文本。核心流程为:1.定义模板字符串;2.解析模板创建template对象;3.准备数据(结构体或map);4.调用execute方法结合数据与模板输出结果。对于嵌套结构,使用.field1.field2链式访问,…
-
Golang数据结构教程_go实现常用数据结构



如何用golang实现常用数据结构?1.数组和切片:利用go切片的动态扩容特性实现动态数组;2.链表:通过结构体和指针定义节点及链式关系;3.栈:基于数组或链表实现lifo操作;4.队列:同样使用数组或链表实现fifo操作;5.哈希表:直接使用go内置的map类型;6.树:通过结构体嵌套实现节点层级…
-
列举Python中常见的数据结构及其特点。
Python中最常见的数据结构包括列表、元组、字典和集合。列表是可变的有序序列,适合频繁修改的场景;元组是不可变的有序序列,用于固定数据;字典是键值对的无序集合,基于哈希表实现,查找效率高;集合是无序且不重复的元素集合,常用于去重和集合运算。此外,collections模块提供了deque、Coun…
-
如何实现一个LRU缓存?
LRU缓存通过哈希表与双向链表结合,实现O(1)读写与淘汰;哈希表快速定位节点,双向链表维护访问顺序,最近访问节点移至头部,超出容量时移除尾部最久未使用节点。 实现LRU缓存的核心思路,在于巧妙地结合哈希表(Hash Map)和双向链表(Doubly Linked List),以达到O(1)时间复杂…
-
Python开发建议:学习并应用数据结构和算法
在过去的几年里,Python已成为最受欢迎的编程语言之一,因为它易于学习和使用。作为一名Python程序员,您可能发现自己已经掌握了基本语法和一些高级概念。然而,如果您想写出更优秀、高效的程序,我们建议您学习并应用数据结构和算法。 数据结构是一种将数据组织起来存储和操作的方式。数据结构可以影响程序的…